小猪经验网
首页
美食营养
生活百科
知识问答
生活知识
返回
小猪经验网
首页
美食营养
游戏数码
手工爱好
生活知识
生活百科
健康养生
运动户外
职场理财
情感交际
母婴教育
时尚美容
知识问答
更多知识
搜索
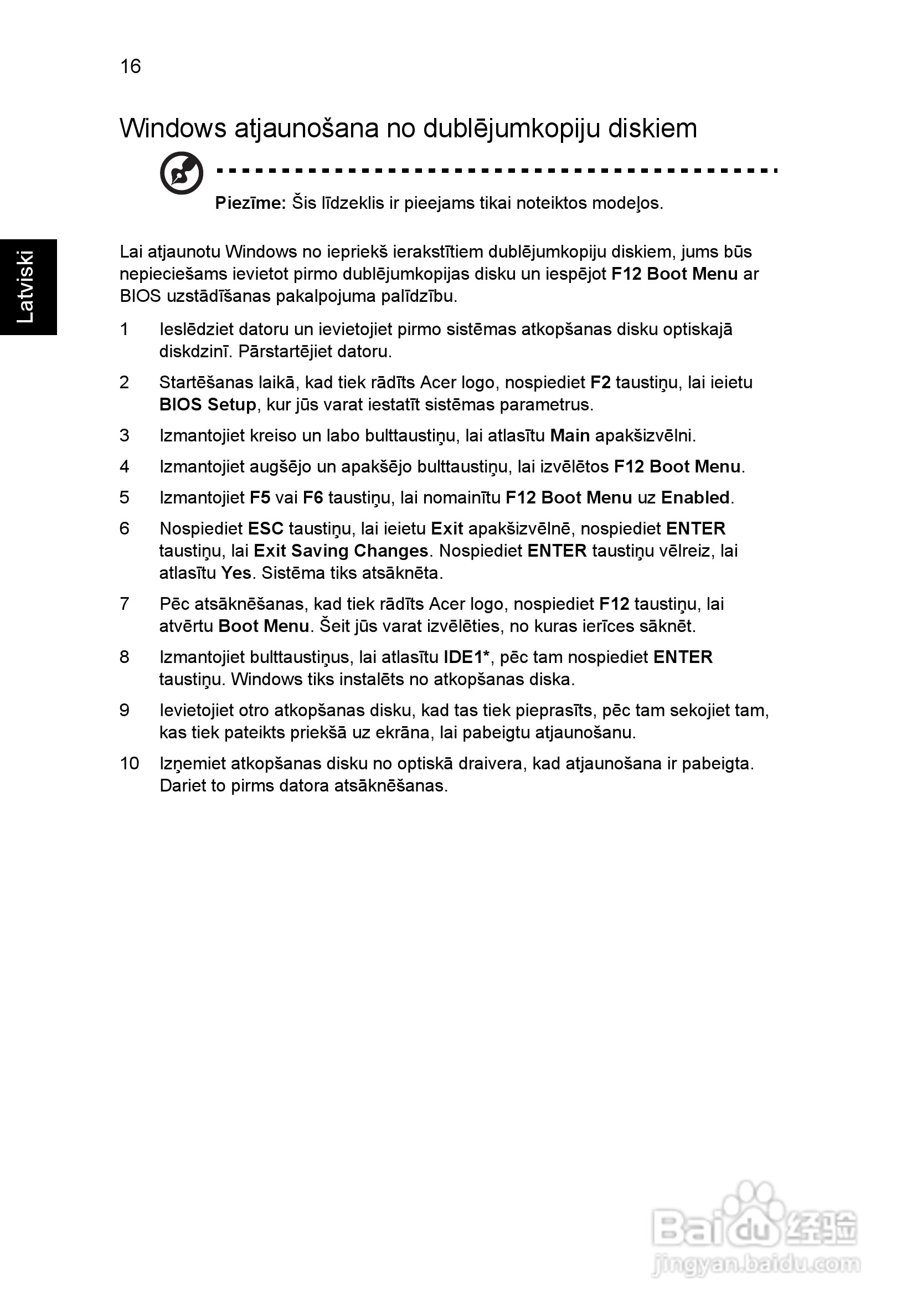
ACER宏基Aspire 5741ZG笔记本说明书:[164]
2026-03-01 09:29:28
本篇为《ACER宏基Aspire 5741ZG笔记本说明书》,主要介绍该产品的使用方法以及常见故障解决方案。
(共篇)
上一篇:
|
下一篇:
相关推荐
ACER宏基Aspire 5741ZG笔记本说明书:[96]
阅读量:128
ACER宏基Aspire 5741ZG笔记本说明书:[124]
阅读量:183
ACER宏基Aspire 5741ZG笔记本说明书:[112]
阅读量:133
ACER宏基Aspire 5741ZG笔记本说明书:[140]
阅读量:130
ACER宏基Aspire 5741ZG笔记本说明书:[128]
阅读量:32
猜你喜欢
议标是什么意思
厚积薄发的意思
job是什么意思
九月九日忆山东兄弟古诗的意思
什么时候买车优惠最大
生气的意思
什么汽车最省油
千载难逢的意思
仰慕的意思
子母被是什么意思
猜你喜欢
什么是保送生
小鱼缸适合养什么鱼
sleep是什么意思
商业险是什么意思
限号是什么意思
3g什么意思
瞬间的意思
为富不仁的意思
sales是什么意思
江西什么时候开学